EBOOK
  • Dmca
  • Contact
  • Privacy Policy
  • Copyright

Stock And Watson Econometrics Solutions 3rd Edition Pdf

Essentials Of Econometrics 3rd Edition Free Download

Essentials Of Econometrics 3rd Edition Free Download

Introduction To Econometrics 3rd Updated Edition Solutions To

Introduction To Econometrics 3rd Updated Edition Solutions To

Introduction To Econometrics Update Global 3rd Edition Stock Solution

Introduction To Econometrics Update Global 3rd Edition Stock Solution

Pdf International Economics Theory And Policy Krugman Obstfeld

Pdf International Economics Theory And Policy Krugman Obstfeld

Solutions Manual For Introduction To Econometrics S Izobrazheniyami

Solutions Manual For Introduction To Econometrics S Izobrazheniyami

Pdf A Guide To Modern Econometrics
Solutions Manual For Introduction To Econometrics Update Global
Stock Watson 3u Exercisesolutions Chapter2 Instructors Skewness
Econometrics Books
Stock Watson Introduction To Econometrics Brief Edition Pearson
Student Resources
Introduction To Algorithms Third Edition Solution Manual Pdf
Solutions Manual For Introduction To Econometrics Update Global
Solution Manual Strategy An Introduction To Game Theory 3rd
Pdf Badi H Baltagi Econometric Analysis Of Panel Da Bookfi Org
Jrc8a8i6rmme6m
Introduction To Econometrics Update Global 3rd Edition Stock Solution
Introduction To Econometrics With R
Solution Manual Econometrics Stock And Watson
The Journals Of Hipolito Ruiz Spanish Botanist In Peru And
Solutionschapter8 Pdf Solutions Selected Exercises Chapter 8 Of
Introduction To Econometrics Update Global 3rd Edition Stock Solution
Introduction To Econometrics 3rd Edition Pdf Book Test And Solution
Syllabus Pdf Kuais Koc University
Book Solution Introduction To Econometrics James H Stock Mark
Sinapse
Stock Watson 3u Exercise Solutions Chapter 8 Instructors Studocu
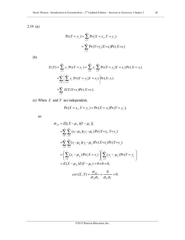
2
Introduction To Econometrics 4th Edition James Stock
Http Www Princeton Edu Mwatson Stock Watson 4e Stock Watson 4e Exercisesolutions Chapter19 Students Pdf
Pdf Quantitative Modelling Of The Caribbean Macroeconomy For
Lkftgzhytuokdm
Pdf Econometrics
Wooldridge Introductory Econometrics 4th Edition Solution Manual
Solution Manual Econometrics Stock And Watson
Intro To Econometrics Stock Watson 3rd Edition Solutions By
Stock Watson Econometrics Solutions Manual Pdf Introduction To
Introduction To Econometrics By Stock James H Watson Mark W
Solutions Empirical Exercises Stock And Watson Chapter 11
Pdf Full Solutions Manual Mark Rain Academia Edu
Introduction To Econometrics 3rd Edition Updated Version Ebook
Introduction To Econometrics Stock Watson 3rd Edition Solutions
Test Bank For Introduction To Econometrics Updated Third Edition
Introduction To Econometrics Third Edition Solutions Rar By
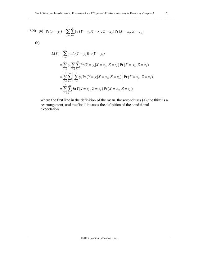
2
Hi If U You Want Order Any Thing A Test Bank And
Solutions Manual For Introduction To Econometrics Update Global
Solutions Manual For Econometrics 2nd Edition
Https Www Studeersnel Nl Nl Document Universiteit Van Amsterdam Econometrics Overige Solution Manual Introduction To Econometrics Stock And Watson Chater 4 7 125274 View
Introduction To Econometrics Students Solutions Manual Pdf Free
Introduction To Econometrics James H Stock Author
Stock Watson 3u Exercise Solutions Chapter 4 Instructors Studocu
Stock Watson Introduction To Econometrics Pdf
Stock Watson Introduction To Econometrics Pdf
Introduction To Econometrics 3rd Edition James Stock Amp Mark
Hayashi Econometrics Solutions Manual
Download Solution Manual Econometrics Stock And Watson Mobi
Econometrics Cheat Sheet Stock And Watson D2nvgk232onk
Pdf Test Bank And Soluiton Manaul List 4 2019 2020 Aplus Tbsm
Applied Econometrics 3rd Edition Pdf Free Download
Solutions Of Stock Watson Intro To Econometrics Docsity
Introduction To Econometrics Update Global 3rd Edition Stock Solution
Par Marno Verbeek Published On May 2008 Lire Pdf
Pdf Solutions Of Wooldridge Introductory Eco Danh Vo Academia Edu
Stock Watson Introduction To Econometrics Pdf
Stock Watson Introduction To Econometrics Student Value
Stock Watson 3u Exercise Solutions Chapter 5 Instructors Studocu
Https Www Studocu Com En Ie Document Universidad Carlos Iii De Madrid Econometria Practical Stock Watson 3u Exercise Solutions Chapter 8 Instructors 4221753 View
Stock James H Watson Mark W Introduction To Econometrics Pdf
Solutionschapter8 Pdf Solutions Selected Exercises Chapter 8 Of
Introduction To Econometrics Update Global 3rd Edition Stock Solution
Stock James H Watson Mark W The Best Amazon Price In Savemoney Es
Introduction To Econometrics 2nd Edition Addison Wesley Series
Stock Watson Econometrics Solutions Manual
Stock Watson 3u Exercisesolutions Chapter10 Students Statistical
Https Thenigerianprofessionalaccountant Files Wordpress Com 2013 04 Solution Manual For Econometrics Pdf
Solutions To Odd Numbered End Of Chapter Exercises Chapter 8wps
Introduction To Econometrics Solutions Manual 3rd Edition
2dku9klvevleam
Ec3303 Ec3304 Econometrics Car Accessories On Carousell
Introduction To Econometrics Update Global 3rd Edition Stock Solution
Pin On Students Manuals
Solutions Empirical Exercises Stock And Watson Chapter 06
Introduction To Econometrics Update Global 3rd Edition Stock Solution
Introduction To Econometrics Students Solutions Manual Pdf Free
Linear Algebra Done Right Third Edition Pdf لم يسبق له مثيل الصور
Introduction To Econometrics 3rd Edition H Stock James W
Econometric James H Stock Watson Pdf
Https Www Studeersnel Nl Nl Document Universiteit Van Amsterdam Econometrics Overige Solution Manual Introduction To Econometrics Stock And Watson Chater 4 7 125274 View
Stock Watson Econometrics Solutions Manual
Baltagi B H Solutions Manual For Econometrics Pdf Vse Dlya
Stock Watson Econometrics Solutions Manual Amazon Manual Free
Pin On Acetxt
Stock Watson Introduction To Econometrics 3e Upd Chegg Com
Solution Manual Introduction To Econometrics Stock And Watson
Introduction To Econometrics Stock Watson 3rd Edition Answers By
Download Stock And Watson Solutions Manual Manual Google
Introduction To Econometrics James H Stock Mark W Watson
Introduction To Econometrics Update Global 3rd Edition Stock Solution

Random Posts

  • Precious Hearts Romances Download Free Pdf Books About Precious Hearts Romances Or Use Online Pdf Viewer Pdf
  • Download Online Gypsy Vocal Score Or
  • Toyota Landcruiser Hzj75 Manual Pdf
  • Investigating Bird Beak Adaptations Lab Activity Answers Pdf
  • Complete Spanner S Workshop Manual For Lambretta Slimstyle Scooters Pdf
  • Essential Of Econometrics Solution Pdf
  • Operation Management 7th Edition Heizer Solution Manual Pdf
  • Upright Work Platform Sl26 Service Manual Pdf
  • Witches Pumpkins And Grinning Ghosts The Story Of Halloween Symbols Pdf
  • Free Pdf Ljubav U Doba Kokaina Pdf Free
Dmca Contact Privacy Policy Copyright

Download Or Reading Online Free Pdf Ljubav U Doba Kokaina Pdf Free Here