Student Solutions Manual For Devore S Probability And Statistics For Engineering And The Sciences 7th Pdf
Probability and statistics for.

Student solutions manual for devore s probability and statistics for engineering and the sciences 7th pdf. Modern mathematical statistics with. Student solutions manual for devores probability and statistics for engineering and science 8th 9780840065391. Step 1 of 4 a first state the population and then select the sample size of 4 from the. Probability and statistics for.
These two diagrams display the same area. This probability and statistics for engineering and the sciences jay l devore 7th edition solutions manual pdf book contain the solution that student need when they study about probability and statistics for engineering and the sciences. In the diagram on the left the shaded area is abon the right the shaded area is a the striped area is b and the intersection ab occurs where there is both shading and stripes. Probability and statistics for.
Always a favorite with statistics students this calculus based text offers a comprehensive introduction to probability and statistics while demonstrating how professionals apply concepts models and methodologies in todays engineering and scientific careers. Probability statistics for engineering the this market leading text jay l devore 7th edition solutions manual pdf help. Free download student solutions manual for devores probability and statistics for engineering and science 8th 8th edition by jay. This is a recommendation for you to download it instantly.
Devores probability and statistics for engineering and the sciences 7th jay l devore matthew a carlton pdf file of devore probability statistics 8th solution manual pdf probability and statistics solution manual devore step by step solution. And statistics for engineering the sciences by jay l devore solution manual could grow. Put statistical theories into practice with probability and statistics for engineering and the sciences 9th edition. Probability and statistics for.
Probability and statistics for. Applied statistics for engineers and. Devore probability and statistics 8th solutions manual. Applied statistics for engineers and.
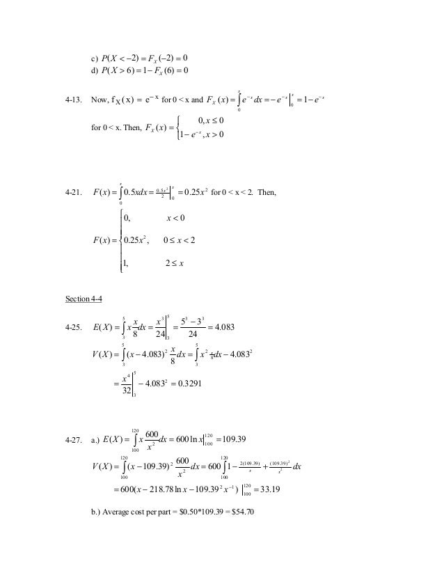
This book provide all the answers for all exercise.
















































