EBOOK
  • Dmca
  • Contact
  • Privacy Policy
  • Copyright

The Relationship Between Blood Alcohol Concentration Bac Pdf

Blood Alcohol Content Wikipedia

Blood Alcohol Content Wikipedia

Presentation Materials Final

Presentation Materials Final

Fatigue Alcohol And Performance Impairment Nature

Fatigue Alcohol And Performance Impairment Nature

How Much Is Too Much To Drink Before I Drive Arrive Alive

How Much Is Too Much To Drink Before I Drive Arrive Alive

Alcohol Its Analysis In Blood And Breath For Forensic Purposes

Alcohol Its Analysis In Blood And Breath For Forensic Purposes

Pdf The Effectiveness Of Reducing Illegal Blood Alcohol
New Drink Driving Limits And Penalties In Ireland Drugs And Alcohol
Breathalysing And Surveying River Users In Australia To Understand
Alcohol Intoxication Acute Symptoms Treatments Signs And More
Perceived Driving Safety And Estimated Blood Alcohol Concentration
Denver Blood Alcohol Content Lawyer Bac Levels In Arapahoe
A Review Of The Challenges Glycaemic Risks And Self Care For
Jcm Free Full Text Sensitivity To Experiencing Alcohol
Pdf The Relationship Between Blood Alcohol Concentration Bac
Pdf The Relationship Between Blood Alcohol Concentration Bac
Sobering Facts Drunk Driving State Fact Sheets Motor Vehicle
Pdf Relationship Between Blood Alcohol Concentration And
Pdf A Review Of Alcohol Impaired Driving The Role Of Blood
Https Encrypted Tbn0 Gstatic Com Images Q Tbn 3aand9gcrywej4ftisvduepnv99mgdkpi1qjkou Nusylldaqrsnowpxnr Usqp Cau
Presentation Materials Final
Pdf Using Calculations To Estimate Blood Alcohol Concentrations
Estimation Of The Potential Effectiveness Of Lowering The Blood
Clinical Assessment Compared With Breathalyser Readings In The
What Is Bac What Does B A C Stand For
Pdf The Relationship Between Blood Alcohol Concentration Bac
The Blood Alcohol Concentration Testing Emergency Room
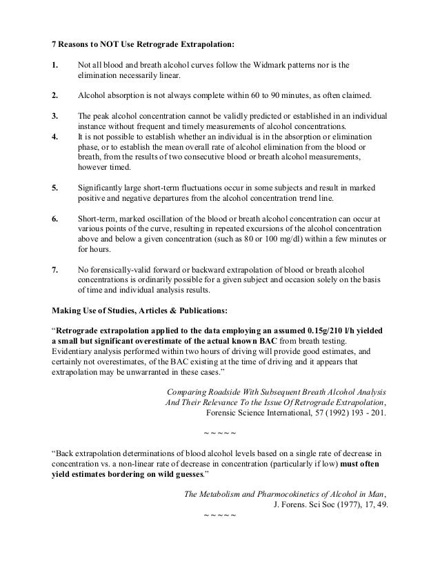
Retrograde Extrapolation Cross Examination Is Based On Toxicology
Short Term Effects Of Alcohol Consumption Wikipedia
Pdf The Bac Chus Experiment Blood Alcohol Concentrations After
Pdf Impact Of Trauma Massive Blood Loss And Administration Of
Pdf A Comparative Study Of Blood Alcohol Concentrations In
Alcohol Related Roadway Casualties Here And Across The Pond
Alcohol Other Drugs Aod Cornell Health
Penalties For 1st 2nd And 3rd Dui In Pennsylvania Steven E Kellis
Pdf The Relationship Between Blood Alcohol Concentration Bac
Bac Poster 2young2drink
Preview Pdf Bac Chart 2 1
Https Www Ajol Info Index Php Safp Article View 170793 162229
Blood Alcohol Content Wikipedia
Alternative Determination Of Blood Alcohol Concentration By 1h Nmr
Driving Under The Influence Wikipedia
Impaired Driving Laws
Zero Tolerance Could Help Prevent Up To 5 000 Alcohol Linked Road
Pdf Uncertainty Of Blood Alcohol Concentration Bac Results As
Understanding Bac
How To Calculate Blood Alcohol Content Widmark Formula 14 Steps
Blood Alcohol Content Distilled Beverages Drink
Alcohol Problems In Intimate Relationships Identification And
Ethanol Forensic Toxicology Journal Of The American Academy Of
Alcohol Alcohol Addiction Tusom Pharmwiki
Understanding Bac
Cgia Lowering Bac Limits Saves Lives The Community Guide
Alcohol Operant Self Administration Investigating How Alcohol
Lesson 14 Part C Blood Alcohol Content Theme Risk Assessment
Dose Related Effects Of Alcohol On Cognitive Functioning
Blood Alcohol Concentration Bac Facts
Best Practices Approach To Determination Of Blood Alcohol
Blood Alcohol Content Chart Templates At Allbusinesstemplates Com
Https Www Thelancet Com Pdfs Journals Lancet Piis0140 6736 18 32850 2 Pdf
Best Practices Approach To Determination Of Blood Alcohol
Blood Alcohol Concentration Bac Associated Clinical Signs
Alcohol Related Traffic Safety Legislation Where Do We Stand
Blood Alcohol Vs Breath Alcohol Is There A Difference Low Cost
Uncertainty Of Blood Alcohol Concentration Bac Results As
Https Encrypted Tbn0 Gstatic Com Images Q Tbn 3aand9gctidru7hyawuzrqhkzn8afqg4bhu9lg3lotgyop1fy4imth89xr Usqp Cau
Http Www Ias Org Uk Uploads Pdf Bloodalcoholcontenteffectivenessreview Pdf
Pdf The Relationship Between Blood Alcohol Concentration Bac
Pdf Using Calculations To Estimate Blood Alcohol Concentrations
Https Encrypted Tbn0 Gstatic Com Images Q Tbn 3aand9gcs0yzh237plvjqpshnkio D457y6ijzopt7ig2yf3fa89jbaw 6 Usqp Cau
4 Alcohol Impaired Driving Interventions Getting To Zero Alcohol
4 Alcohol Impaired Driving Interventions Getting To Zero Alcohol
Pdf Environmental And Individual Predictors Of Error In Field
Moderate Acute Alcohol Intoxication Increases Visual Motion
Best Practices Approach To Determination Of Blood Alcohol
Pdf Blood Alcohol Stability In Postmortem Blood Samples Davorka
Convert Liter To Kg Alcohol لم يسبق له مثيل الصور Tier3 Xyz
Alcohol Intoxication At Swedish Football Matches A Study Using
Alcohol Its Absorption Distribution Metabolism And Excretion
What Blood Alcohol Level Is The Standard For Drunkenness In Canada
What Are The Stages Of Alcohol Intoxication Sunrise House
What Is Alcohol Poisoning Symptoms Signs
Dose Related Effects Of Alcohol On Cognitive Functioning
Blood Alcohol Levels In Fatal Crashes
Blood Alcohol Content Bac Levels And Impairment Darienitedarienite
Pdf Gender Differences In Alcohol Metabolism Relationship To
Pdf Alcohol And Cognitive Aspects Of Reaction Time
Concentration Dependency Of The Bac Brac Blood Alcohol
Jcm Free Full Text Sensitivity To Experiencing Alcohol
Sensors Free Full Text Wearable Enzymatic Alcohol Biosensor Html
G Licence Alcohol Limit لم يسبق له مثيل الصور Tier3 Xyz
Drinking And Driving Motor Vehicle Safety Cdc Injury Center
Ijerph Free Full Text The Association Between Ethanol
Pdf Breath Analyzer Screening Of Emergency Department Patients
Pdf Relationship Between Blood Alcohol Concentration And
Prenatal Alcohol Exposure Blood Alcohol Concentrations And
Jcm Free Full Text The Association Between Alcohol Hangover
How To Calculate Blood Alcohol Content Widmark Formula 14 Steps
Full Article Washout Kinetics Of Ethanol From The Airways
Pdf The Relationship Between Blood Alcohol Concentration Bac
Denver Blood Alcohol Content Lawyer Bac Levels In Arapahoe
Global Status Report On Alcohol And Health 2018
An Evaluation Of The Effects Of Lowering Blood Alcohol
Other States Should Copy Utah S New Drunk Driving Rule

Random Posts

  • John Deere 750 Tractor Manual Pdf
  • Superbolt Torque Chart Pdf
  • Racism Revised Courts Labor Law And The Institutional Construction Of Racial Animus Pdf
  • Understanding Normal And Clinical Nutrition 9th Edition Pdf
  • Nakama 1b Pdf
  • Microsoft Wsh And Vbscript Programming For The Absolute Beginner Pdf
  • Engineering Dynamics Mcgill King Pdf
  • Viscous Fluid Flow Mcgrawhill Mechanical Engineeringbi Pdf
  • Download Sexcom Kindle Editon
  • Compensation4thcanadianeditionmilkovich Pdf
Dmca Contact Privacy Policy Copyright

Download Or Reading Online Compensation4thcanadianeditionmilkovich Pdf Here